This is the second part of my series on phylogenetics and a specific case of textual criticism, the Biblical one. The first part appeared as Another test case for phylogenetics and textual criticism: the Bible, and covered the background to the textual problem — that post should be read first. Here, I provide a preliminary genealogical analysis of some specific data related to the problem.
The synoptic gospels and phylogenetics: how to code data?
Just like in the cases of general stemmatics and historical linguistics, our immediate problem for a phylogenetic approach to Biblical criticism is one of data. Upon investigation, the field proves itself desperately in need of an open access mentality — a great deal of work would be needed to turn the few aggregated data I could find into datasets that could feed the most basic analysis tools.
No open dataset proved either adequate or correct enough. They are mostly quotations or subjective developments of the scientific sources, available only in printed editions and in software for Biblical studies, sometimes at exorbitant prices, and frequently with licenses that explicitly prohibit extracting and reusing the data. This forced me to postpone an analysis of families of manuscripts, as unfortunately there is no complete free edition of the Novum Testamentum Graece (the reference work in the field, usually referred to as Nestle-Aland after its main editors).
However, I could explore the problem of the synoptic gospels in a way and with a dataset closer to the ones of the 19th century analyses, by sitting with a printed Bible and compiling my own synopsis of episodes. My work in this field ends with this second post, but it seems like a good approach to the development of a phylogenetic investigation, to start by reproducing the old analyses with new tools.
After some bibliographic review and inspection of the solutions presented to the problem, my understanding is that there would be three fundamental ways of coding for features of these texts.
(i)
The first and simplest is to compile a list of episodes, themes, and topics found in each gospel (a proper “synopsis”), without considering semantic differences or relative positions, coding for a truth table indicating whether each “event” (i.e. “character”) is found. For example, the imprisonment of John the Baptist is mentioned in the three synoptic gospels (Matthew 4,12; Mark 1,14; Luke 3,18-20) and would be coded as “present” in all of them, even though in Luke the relative order is different (it is narrated before the baptism of Jesus, in a flashforward). On the other hand, the priests conspiring against Jesus is only narrated in two gospels (Mark 11,18; Luke 19,47-48), and the “character” of the meek inheriting the Earth is only found in one of them (Matthew 5,5), as shown in the table below.
Character/Event
| Matthew | Mark | Luke |
Imprisonment of John
| ✓ | ✓ | ✓ |
Priests conspiring
| ✓ | ✓ | |
Meek inheritance
| ✓ |
This kind of census approach is what most descriptive statistics on the synoptic relationship consider when demonstrating how much there is in common among the gospels, including the graph reproduced back in the first part of this post. As in the case of the statistics of genetic material shared between species, like humans and other apes, caution is needed to understand what is actually meant — the percentages usually reported refer to episode coincidence (in a loose analogy, like the presence of a protein), not text coincidence (like the sequences of genetic bases). This is the reason why these analyses should equally consider “episode homology” and “episode analogy” — one must remember that all gospels as we have them evolved from initial versions, and to be missing an episode favored by the public or the clergy, which denounced other gospels now lost as “uninspired”, could have resulted in pressure to incorporate such episode.
(ii)
A deeper level of coding would be to map the text of episodes and events into “semantic” characters, ignoring textual differences (like synonyms) but coding for differences in intended meaning. For example, the event of Jesus being tested in the wilderness, while narrated in all three gospels (Matthew 4,1-2; Mark 1,12-13; Luke 4,1-2), is really only equivalent in Matthew and Luke, where he is tempted by "the Devil", while in Mark he is tempted by "Satan", which is a figure closer to the Hebrew meaning of "enemy, adversary; accuser". Likewise, while Matthew and Luke both narrate Jesus’ most famous sermon, they are semantically different: the setting is a mountain in the first and a plain in the second.
Character/Event
| Matthew | Mark | Luke |
Temptation
| by the Devil | by Satan | by the Devil |
Sermon
| mountain | plain |
This kind of mapping is harder, due to the expertise required to subjectively distinguish meaning, as in the case of the mountain / plain, which scholars in Biblical hermeneutics seem to agree to be more than merely a change of setting for narration. The difficulty is aggravated by the eventual need to quantify the semantic shifts (how far is "the Devil" from "Satan (the adversary)", especially when the episode is missing from the non-synoptic gospel of John?). These three states ("null", "Devil", and "Satan") should not be considered equally different, especially when the texts of the three synoptic gospels are clearly related. Luckily, while not necessarily in a systematic way for phylogenetic purposes, this kind of coding has already been conducted by many Biblical scholars, and we might thus appropriate it in the future.
(iii)
The third way of coding, partly solving the difficulties of the second solution, would be to compare the Greek text for each event, using some distance metric. For strings, there is the common Levenshtein distance, or, in a blatant self-promotion, my own sequence similarity algorithm. For linguistic texts, there are dozens of possible Natural Language Processing solutions, but usually with no model for Koine Greek (apart from purely statistical ones that can overfit, because in general they are actually trained on the text of the gospels, in the first place).
| Character/Event | Matthew | Mark | Luke |
Prologue
| Βίβλος γενέσεως Ἰησοῦ... (1,1) | Ἀρχὴ τοῦ εὐαγγελίου Ἰησοῦ... (1,1) | Ἐπειδήπερ πολλοὶ ἐπεχείρησαν... (1,1-4) |
Birth of Jesus
| Τοῦ δὲ Ἰησοῦ χριστοῦ ἡ γένεσις... (1,18-25) | Ἐγένετο δὲ ἐν ταῖς ἡμέραις ἐκείναις... (2,1-7) | |
Healing of possessed
| καὶ εὐθὺς ἦν ἐν τῇ συναγωγῇ αὐτῶν ἄνθρωπος ἐν πνεύματι... (1,23-28) | καὶ ἐν τῇ συναγωγῇ ἦν ἄνθρωπος ἔχων... (4,33-37) | |
Parable of tares
|
Ἄλλην παραβολὴν παρέθηκεν αὐτοῖς λέγων... (13,24-30)
|
By comparing all distance pairs for all characters, we could build a matrix of pairwise distances, similarly to what David frequently does in the EDA analyses posted to this blog. Considering that most synoptic lists have already mapped each event to their texts (sometimes in discontinuous blocks), with a copy of the reconstructed Greek original, from Holmes (2010) in the table immediately above, it should not be too hard to perform such a study.
For the purpose of this post, I decided to proceed with the first of these three possible solutions, listing whether an event is found in each Gospel or not, ignoring semantic and textual differences. I modified the synopsis by Garmus (1982), itself apparently modified from some Nestle-Aland edition. This produced a final list of 364 characters and their presence in each of the four gospels — I decided to include the non-synoptic John to test where the analyses would place it.
As expected, the data are to a large extent arbitrary and subjective. Garmus has obvious limitations in the way of dealing with events narrated out of the expected chronological sequence (i.e., flashbacks and flashforwards, as in the case of the beheading of John in relation to his actions), as well as with theological excursuses. None of these limits, however, seem to impact the general shape of a network or tree generated from these data, at most strengthening more feeble signals.
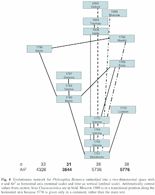
![]() |
| Splits tree, modified from the one generated by Huson & Bryant (2010) |
As also expected, the graph supports what is by now a general consensus. Mark is likely to be the gospel closest to a hypothetical root (in this case, nearest to the mid-point). John is the most distinct of the four gospels, being closer to Mark than to the Matthew-Luke group (due to the “core” events narrated and the fewer innovations in Mark). Considering edge lengths, Luke seems to be the most innovative taxon of the synoptic gospel neighborhood / group. Such a network could never demonstrate the existence of "Q" (see the first post) as a stand-alone and actual document, but this tentative analysis does support the hypothesis that Matthew and Luke share a common development, overall supporting Marcan priority.
While probably obvious, it is important to remember that phylogenetic methods are tools that imply the existence of users — it should be an additional instrument for investigation, possibly promoting the collaboration of serious Biblical critics and experts in phylogenetic methods. Let’s consider two examples of the need for such expertise.
First, there is much historical, textual, and theological evidence supporting a hypothesis that the gospel of Mark originally ended with what is now Mark 16,8, with the twelve following verses as later additions (something common to many Greek texts, including the Odyssey). If these supposed additions, only known to whoever delves into Biblical scholarship, are marked as missing in our data, as we should at least test, the distance between Mark and all other gospels, including the unrelated Gospel of John and especially in the edge length between Luke and Mark, increases considerably for such an apparently minor change.
Second, if conducting the third and especially the second type of coding that I described above, a researcher should have at least a basic knowledge of the language they are dealing with. Adapting the explanation of Smith (2017), Matthew and Mark might seem to use the same vocabulary for the “parable of the harvest” when read in English translation, but there is a concealed change of meaning (whose theological importance and implication I'm not debating here), as the single English word “seed” tends to be used in translation of two different Greek words: in Matthew, “sperma” (the kernels of grain, in a more agricultural sense) and, in Mark, “sporos” (which carries a connotation of generative matter to be released).
Conclusion
My dataset is available in preliminary state (for example, labels are in Portuguese) here.
In conclusion, phylogenetics still has much to offer to the field of textual criticism, and this should include Biblical criticism, especially if we are able to support analyses of textual development based on trees / networks of manuscripts. I hope this pair of blog posts will motivate Biblical scholars to collaborate. If so, please write to me.
References
Garmus, Ludovico (ed.) (1982) Bíblia sagrada. Petrópolis: Editora Vozes. [reprint 2001]
Goodacre, Mark (2001) The Synoptic Problem: a Way Through the Maze. New York: T & T Clark International. (available on Archive.org)
Holmes, Michael W. (ed.) (2010) SBL Greek New Testament. Atlanta, GA: Society of Biblical Literature.
Huson, Daniel H.; Bryant David (2006) Application of Phylogenetic Networks in Evolutionary Studies, Mol. Biol. Evol., 23(2):254-267. [SplitsTree.org]
Smith, Mahlon H (2017) A Synoptic Gospels Primer. http://virtualreligion.net/primer/























